Simplify 64 to the Power of 2 3
Pls give thumbs up if helps. Take the cube root of to get -4.
Write In Exponential Form 6 2 6 4 6 3 And Simplify Teachoo
To simplify your expression using the Simplify Calculator type in your expression like 25x4-3x.

. Browse by Stream Engineering and Architecture. Square -4 to get 16. 64 to the power of a third is equal to the cube root of 64.
125 512. 27 to the power of 23 is 9. Here is an example.
64 4 3 125 5 3 4 3 5 3-23 5 3 4 3 23 by statement 1 5 3x23 4 3x23 5 1x21 4 1x21 5 2 4 2 25 16. This shows we can first do the operation inside of the brackets followed by the outside operation to obtain the answer. 27 23 3 323.
Simplify 64 to the power -1364 to the power 13 - 64 to the power 23. 5 8 3. Find a formula for Pft the size of the population that begins in year t0 with 2420 members and A.
64 to the power of minus two thirds. First rewrite 27 as 3 3. 25 64 32.
64 P1313 - 64 P2313. The minus turns it into a reciprocal this equals 1 over the cube root of 64 squared. Free math problem solver answers your algebra geometry trigonometry calculus and statistics homework questions with step-by-step explanations just like a math tutor.
Beginarraylleftfrac64125right-frac23 leftfrac64125right-1 frac23 leftleftfrac64125right-1rightfrac23 leftfrac1frac64125rightfrac23. This is the same as 1 over 64 to the power of two thirds. We also know that amn amn.
64 P23 - 64. The given expression is. Lets solve this step by step.
Keeping in view the power of power property of exponents we will multiply powers. The simplify calculator will then show you the steps to help you learn how to simplify your algebraic expression on your own. A property of exponents states that.
64 1251 32. So here the cube root of 64 is 4 because 4x4x464. 64 23 may seem difficult to calculate at first but really boils down to two simple steps.
Does this make sence. 3 64 2 4 2. 64 23 64 13 2 or 3 64 2.
NOW 3 WILL CANCEL BY MULTIPLYING WITH 23. Find the cube root. 64 25 -32.
5 8 2 3 2. This is because 6423 64132. In the given problem we have to find out the general formula for decay of size of population as a.
Answer by solver91311 24713 Show Source. Simplify the expression. X 2 3 x 23.
Left parenthesis negative 64 right parenthesis to the power of bevelled fraction numerator negative 2 over denominator 3 end fraction end exponent Im trying to learn for my Algebra class and Im stuck. A fractional exponent means raise the number to the power of the numerator and take the root indicated by the denominator. Get step-by-step solutions from expert tutors as fast as 15-30 minutes.
431 3 4 3 1 3. Fractional exponents in algebra use the same rules that are used for the other exponents. Simplify 27x6 64 23.
Simplify algebraic expressions step-by-step. Simplify 64 125 Raised To The Power 2 3. Type for exponents like x2 for x squared.
We know amn amn a m n a m n. A bm b am. 64 2 3 1 642 3 1 641 3641 3.
Hence 125 64 2 3 64 1252 3. So we cancel the common factor of 3 to get. 432 3 4 3 2 3.
Power of a product property. 64 125 1 32. Report 11 years ago.
27 to the power of 23 or 27 23. Which is then 1 over 16. Use the rules for root simplification.
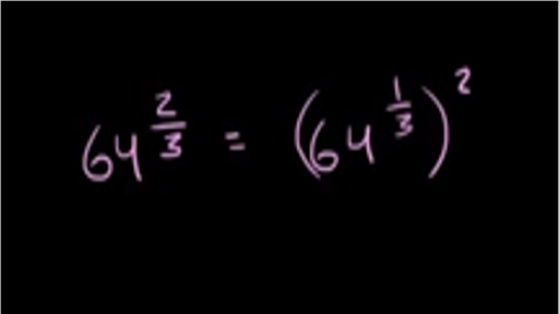
Then you do 4 squared which is 4x416. Rep gems come when your posts are rated by other community members. If a number is to the power of 23 you should think of it as to the power of 13 so CUBE-rooted and then being to the power of 2 so squared.
642 3 432 3 64 2 3 4 3 2 3. Sowhat times itself 3 times equals 64. We know amn amn a m n a m n.
When an exponent is in a fraction form the numerator is the power the base will be raised to while the denominator is the root. We will apply the exponent rules and multiply exponents a m n a mn. Here you can either square -64 and take the cube root of the.
We have to simplify the expression. This means the answer is much smaller. You can put this solution on YOUR website.
So 64 to the power of 23 is 16. 641 3 431 3 64 1 3 4 3 1 3. Here is your answer.
Simplify 64 125 raised to the power -⅔. 16 is our answer. When a product of bases is raised to some power the bases will possess the power separately.
64 P13 64 P13-64 P23 THAT MEANS BASE IS SAME AND MULTIPLYING EACH OTHER THEN POWERS ARE GOING TO ADD.
Evaluating Fractional Exponents Algebra Video Khan Academy
Ex 1 6 1 I Find 64 1 2 Class 9 Maths Teachoo Ex 1 6
How To Evaluate 64 2 3 Brainly In
Simplifying The Cube Root Of A 64 Using The Identify Element Cube Root 64 Youtube
No comments for "Simplify 64 to the Power of 2 3"
Post a Comment